| Business DEX (2410001):— 2410_form | Date: 2007/10/12 12:27:17 Revision: 1.26 |
The following sections describe how the information contained in the DA 2410 form is represented (mapped) using ISO 10303-239.
The information captured by the form has been summarized in the previous sections. Figure 9 summarizes this information and shows an abstract view of the ISO 10303-239 PLCS constructs that represent the information.
The diagram shows the different types of activity that are recorded on a DA2410 form, such installation, removal etc, and the associated information that is recorded as a result of the activity, such as the identification of the reportable item on which the work was done (the reportable item), the APU lifing measurements and so on.
This high level view of the ISO 10303-239 PLCS representation is detailed in the following sections.

The DA 2410 form is a record of an activity that has been carried out. It is therefore represented in ISO 10303-239 PLCS by an Activity_actual - a representation of an activity that has occurred. The use of an Activity_actual is described in the capability C032: representing_activity and shown in Figure 10 below.
The DA2410 is used to report on a number of different maintenance activities, as summarized in Figure 9. These are:
These activities are all represented by Activity_actual. The different types of activities recorded by a DA2410form are distinguished by using reference data (See capability C010: assigning_reference_data for details on the use of reference data) to classify the Activity_actual.
The Activity_actual representing the different types of DA2410 activities recorded by the form may be classified as follows:
The Activity_actual is identified by the DA2410 control number. This is represented by an Identification_assignment. This is described in the capability C001: assigning_identifiers and the template: assigning_identification. The identifier is classified as a: "Activity identification code" (urn:plcs:rdl:std:Activity identification code)
The Activity_actual is "characterized" by the date when the activity was performed and by whom. Properties such as the time taken to perform the activity are also recorded.
The Activity_actual is related to the items identified on the form, such as the reportable item, the APU, the parts replaced etc, by instances of Applied_activity_assignments. Each role of each instance is provided by classification. The use of Applied_activity_assignment is detailed in the template assigning_activity .
The Activity_actual is also related to an Activity_method representing the process description, or the method, that was used when performing the activity. The DA2410 form do not identify the method used, so "PAM738_751_method" is used for all types of activities.
An EXPRESS-G diagram showing how the Activity_actual is used to represent the activity record is shown in Figure 10 below. The diagram also shows the templates that are required.

The following templates are used in the diagram and represent the various blocks on the DA2410 form:
| Template #1 (Figure 10): assigning_activity | |||
|---|---|---|---|
| Description | The association of the activities reported on the form and the subject (e.g. input and output) of the activity, such as the Reportable item, the APU etc. | ||
| Parameter name: | Parameter value: | Parameter description: | |
| role_class_name |
Where the activity is related to a reportable item use:
[Activity_input_Reportable_item] |
The class name of the External_class corresponding to the role of the assignment, e.g. "Activity input" (urn:plcs:rdl:std:Activity input), or "Activity output" (urn:plcs:rdl:std:Activity output). | |
|
Where the activity is related to an APU, use:
[Activity_input_APU] |
The class name of the External_class corresponding to the role of the assignment, e.g. "Activity input" (urn:plcs:rdl:std:Activity input), or "Activity output" (urn:plcs:rdl:std:Activity output). | ||
|
Where the activity is related to a History recorder use:
[Activity_input_History_recorder] |
The class name of the External_class corresponding to the role of the assignment, e.g. "Activity input" (urn:plcs:rdl:std:Activity input), or "Activity output" (urn:plcs:rdl:std:Activity output). | ||
|
Where the activity is related to an On Board Monitoring System use:
[Activity_input_On_board_monitoring_system] |
The class name of the External_class corresponding to the role of the assignment, e.g. "Activity input" (urn:plcs:rdl:std:Activity input), or "Activity output" (urn:plcs:rdl:std:Activity output). | ||
| Where the activity is related to an inventory gain or loss use: "Activity output" (urn:plcs:rdl:std:Activity output) | The class name of the External_class corresponding to the role of the assignment, e.g. "Activity input" (urn:plcs:rdl:std:Activity input), or "Activity output" (urn:plcs:rdl:std:Activity output). | ||
| role_ecl_id | For items being input/output to the activity, use:
"'urn:plcs:rdl:pam738_751'" |
The identifier of the External_class_library storing the definition of the class referenced by the parameter @role_class_name. | |
| For inventory gain and loss, use:
"'urn:plcs:rdl:std'" |
The identifier of the External_class_library storing the definition of the class referenced by the parameter @role_class_name. | ||
| assigned_activity | Activity_actual | The activity being reported on the DA 2410 Form. | |
| items | For Reportable item, APU, History recorder and On
Board Monitoring System use:
Product_as_realized |
The activity, product, individual, task_method, etc that is being assigned to the activity. | |
| For inventory gain:
Increasing_resource_event |
The activity, product, individual, task_method, etc that is being assigned to the activity. | ||
| For inventory loss:
Decreasing_resource_event |
The activity, product, individual, task_method, etc that is being assigned to the activity. | ||
| Template #2 (Figure 10): assigning_identification | |||
|---|---|---|---|
| Description | The identification of the activity_actual. For the activity being reported on the form, this is the control number. | ||
| Parameter name: | Parameter value: | Parameter description: | |
| id | DA2410 block: control block | The identifier | |
| id_class_name | "Activity identification code" (urn:plcs:rdl:std:Activity identification code) | The name of the class used to classify the identifier (@id) and so provide the role or reason for the identification. | |
| id_ecl_id | urn:plcs:rdl:std | The id of the External_class_library storing the id_class_name. | |
| org_id | 'US Army' | The identifier or name of the organization that "owns" the identifier. | |
| org_id_class_name | For names of organization, use "Organization name" (urn:plcs:rdl:std:Organization name) | The name of the class being used to classify the identification of the organization, or the organization name (@org_id). For example CAGE code. | |
| For organization identification codes, e.g. CAGE code, use "Organization identification code" (urn:plcs:rdl:std:Organization identification code) | The name of the class being used to classify the identification of the organization, or the organization name (@org_id). For example CAGE code. | ||
| org_id_ecl_id | urn:plcs:rdl:std | The id of the External_class_library storing the org_id_class_name class items. | |
| items | Activity_actual | The activity that is being reported on by the DA2410 form, represented as an Activity_actual. | |
| Template #3 (Figure 10): assigning_business_specific_reference_data | |||
|---|---|---|---|
| Description | A classification of the type of activity that is being reported by the DA 2410 form. | ||
| Parameter name: | Parameter value: | Parameter description: | |
| class_name |
Where the activity being reported is an Overhaul, use:
[DA2410Form-Overhaul] |
The name of the class in the business specific reference data library (External_class) being used to classify something | |
|
Where the activity being reported is a Removal use:
[DA2410Form-Removal] |
The name of the class in the business specific reference data library (External_class) being used to classify something | ||
|
Where the activity being reported is a Installation use:
[DA2410Form-Installation] |
The name of the class in the business specific reference data library (External_class) being used to classify something | ||
|
Where the activity being reported is a Servicability change use:
[DA2410Form-Servicability_change] |
The name of the class in the business specific reference data library (External_class) being used to classify something | ||
|
Where the activity being reported is a Fit/Form/Function change use:
[DA2410Form-Fit_form_function_change] |
The name of the class in the business specific reference data library (External_class) being used to classify something | ||
|
Where the activity being reported is a Gain to inventory, use:
[DA2410Form-InventoryGain] |
The name of the class in the business specific reference data library (External_class) being used to classify something | ||
|
Where the activity being reported is a Loss to inventory, use:
[DA2410Form-InventoryLoss] |
The name of the class in the business specific reference data library (External_class) being used to classify something | ||
| ecl_id | "'urn:plcs:rdl:pam738_751'" | The id of the business_specific External_class_library that stores the class. | |
| plcs_class_name | "Activity actual" (urn:plcs:rdl:std:Activity actual) | The name of the first plcs superclass encountered in the plsc standard reference data library (External_class) when traversing the class hierarchy for the assigned business specific (External_class). | |
| items | Activity_actual | The activity that is being reported on by the DA2410 form, represented as an Activity_actual. | |
| Template #4 (Figure 10): assigning_person_in_organization | |||
|---|---|---|---|
| Description | Identification of the person completing the reporting of the activity. | ||
| Parameter name: | Parameter value: | Parameter description: | |
| person_id |
Block 36 PID, and
Block 40 PID, and Block 71 PID |
||
| person_id_class_name |
[PID] |
||
| person_id_ecl_id |
"'urn:plcs:rdl:pam738_751'" | ||
| last_name | "/NULL"
[Mandatory value unknown, not provided by DA2410 form] |
the last name (surname) of the person doing the approval | |
| person_role_class_name | "Creator of" (urn:plcs:rdl:std:Creator of) | The name of the class being used to classify the person assignment () This provides the role for the assignment. | |
| person_role_ecl_id | "'urn:plcs:rdl:std'" | The identifier of the External_class_library storing the definition of the class referenced by the parameter @person_role_class_name class. | |
| org_id | Block 34 UIC, and
Block 41 UIC, and Block 64 UIC |
The identifier (UIC) of the organization in which the person completing the reporting of the activity work. | |
| Block 34 CAGE code (for contractor), and
Block 41 CAGE code (for contractor), and Block 64 CAGE code (for contractor) |
The identifier (CAGE code) of the contractor organization in which the person completing the reporting of the activity work. | ||
| If organization of person is unknown:
"/NULL" |
If the organization in which the person completing the reporting of the activity work is unknown, enter "/NULL" for any Block. | ||
| org_id_class_name | [UIC] |
The name of the class - Unit Identification Code (UIC) - being used to classify the identification (Identification_assignment) of the organization. This provides the role or reason for the identification. | |
| "CAGE code" (urn:plcs:rdl:std:CAGE code) for contractors | The name of the class ( "CAGE code" (urn:plcs:rdl:std:CAGE code)) being used to classify the identification (Identification_assignment) of the contractor's organization. This provides the role or reason for the identification. | ||
| [Unknown_organization] |
If organization is unknown. | ||
| org_id_ecl_id | "'urn:plcs:rdl:pam738_751'" for organizations identified with UIC. | The identifier of the External_class_library storing the definition of the class referenced by the parameter @org_id_class_name class. | |
| "'urn:plcs:rdl:std'" for organizations (contractors) identified with CAGE code. | The identifier of the External_class_library storing the definition of the class referenced by the parameter @org_id_class_name class. | ||
| "'urn:plcs:rdl:pam738_751'" if organization is unknown. | The identifier of the External_class_library storing the definition of the class referenced by the parameter @org_id_class_name class. | ||
| items | Activity_actual | The activity to which the person is assigned. This is the activity that is being reported on by the DA2410 form represented as a Activity_actual. | |
| Template #5 (Figure 10): assigning_reference_data | |||
|---|---|---|---|
| Description | Maintenance level of organization unit | ||
| Parameter name: | Parameter value: | Parameter description: | |
| class_name | Block 32, 46 and 62: [Maintenance_level] |
The Maintenance Level ("O" for AVUM, "F" for AVIM, "D" for Depot) of the unit/activity doing the removal. | |
| ecl_id | "'urn:plcs:rdl:pam738_751'" | The id of the External_class_library that stores the definition for the class being used. | |
| items | The Organization entity instantiated by the template assigning_person_in_organization. | The items to which the External_class is assigned. | |
| Template #6 (Figure 10): assigning_address | |||
|---|---|---|---|
| Description | Address of person | ||
| Parameter name: | Parameter value: | Parameter description: | |
| address_class_name | [Business_address] |
The name of the class being used to classify the address. This provides the type of address, for example 'office_address'. | |
| address_ecl_id | "'urn:plcs:rdl:pam738_751'" | The identifier of the External_class_library storing the definition of the class referenced by the parameter @address_class_name. | |
| telephone_number | Block 36 Telephone number, and
Block 40 Telephone number, and Block 71 Telephone number |
The number at which telephone calls may be received. Parameter is optional. | |
| located_pers_org | The Person entity instantiated by the template assigning_person_in_organization. | The items to which the address is assigned | |
| Template #7 (Figure 10): assigning_organization | |||
|---|---|---|---|
| Description | This template is used to identify an organization without also identifying a person. It should also be used to identify the organization responsible for the activity, if other than the organization employing/responsible for the person doing the work or reporting the activity. | ||
| Parameter name: | Parameter value: | Parameter description: | |
| org_id | Block 34 UIC or CAGE code (for contractor), and
Block 41 UIC or CAGE code (for contractor), and Block 64 UIC or CAGE code (for contractor) |
The identifier (UIC or CAGE code) of the organization, if other than the organization to which the person doing the activity and/or completing the reporting of the activity belongs. Otherwise use template #4 assigning_person_in_organization. | |
| Block 74 UIC or CAGE code (for contractor) | The identifier (UIC or CAGE code) of the receiving organization, to which the item was shipped. | ||
| org_id_class_name | [UIC] or, if contractor, "CAGE code" (urn:plcs:rdl:std:CAGE code) |
The name of the class being used to classify the identification (Identification_assignment) of the organization. This provides the role or reason for the identification. Unit Identification Code (UIC), or for contractors, the "CAGE code" (urn:plcs:rdl:std:CAGE code). | |
| org_id_ecl_id | "'urn:plcs:rdl:pam738_751'" or, for CAGE code,
"'urn:plcs:rdl:std'" |
The identifier of the External_class_library storing the definition of the class referenced by the parameter @org_id_class_name. | |
| org_assgn_class_name |
"Organization type"
(urn:plcs:rdl:std:Organization type)
For inventory loss activities use "Receiver of" (urn:plcs:rdl:std:Receiver of) to indicate the organization receiving a reportable item. |
The name of the class being used to classify the assignment of the organization. (Organization_or_person_in_organization_assignment) This provides the role or reason for the assignment. For example 'Receiving_organization'. | |
| org_assgn_ecl_id | "'urn:plcs:rdl:pam738_751'" | The identifier of the External_class_library storing the definition of the class referenced by the parameter @org_assgn_class_name. | |
| items | Activity_actual | The DA2410 form to which the person is assigned, represented as a Activity_actual. | |
| Template #8 (Figure 10): assigning_organization_location |
|||
|---|---|---|---|
| Description | Organization-based location (address) of receiving organization | ||
| Parameter name: | Parameter value: | Parameter description: | |
| la_class_name |
[Shipping_address] |
||
| la_ecl_id |
"'urn:plcs:rdl:pam738_751'" | ||
| loc_id |
Block 72 SHIPPED TO | The name of the DRMO, the service, agency, department or MAP country that the item was shipped to. | |
| loc_id_class_name |
"Organization name" (urn:plcs:rdl:std:Organization name) | ||
| loc_id_ecl_id |
"'urn:plcs:rdl:std'" | ||
| org_name |
"US Army" | ||
| org_name_class |
"Organization name" (urn:plcs:rdl:std:Organization name) | ||
| org_name_ecl_id |
"'urn:plcs:rdl:std'" | ||
| loc_val |
Block 73 LOCATION | The address of the DRMO, the service, agency, department or MAP country that the item was shipped to. | |
| loc_id_type |
"Location identification code" (urn:plcs:rdl:std:Location identification code) | ||
| loc_id_type_ecl_id |
"'urn:plcs:rdl:std'" | ||
| Template #9 (Figure 10): assigning_calendar_date | |||
|---|---|---|---|
| Description | A Date of the activity, either date for finished removal or installation, the date for discovery or check-in, or the date for shipping. If and activity requires more than one date, the template is repeated. | ||
| Parameter name: | Parameter value: | Parameter description: | |
| date_class_name | "Date actual" (urn:plcs:rdl:std:Date actual) | The name of the class being used to classify the role date assignment, e.g. the start date. | |
| date_ecl_id | "'urn:plcs:rdl:pam738_751'" | The id of the External_class_library in which the @date_class_name is defined. | |
| year | The 'year' component of
Block 33 DATE REMOVED and Block 39 DATE CHECKED; (use one date for each above), or Block 63 DATE INSTALLED; or Block 75 DATE SHIPPED |
Calendar_date year_component | |
| month | The 'month' component of
Block 33 DATE REMOVED and Block 39 DATE CHECKED; (use one date for each above), or Block 63 DATE INSTALLED; or Block 75 DATE SHIPPED |
Calendar_date month_component | |
| day | The 'day' component of
Block 33 DATE REMOVED and Block 39 DATE CHECKED; (use one date for each above), or Block 63 DATE INSTALLED; or Block 75 DATE SHIPPED |
Calendar_date day_component | |
| items | Activity_actual | The items to which the date is assigned. | |
| Template #10 (Figure 10): assigning_contract | |||
|---|---|---|---|
| Description | The contract number that the item was procured under. | ||
| Parameter name: | Parameter value: | Parameter description: | |
| cnt_id | Block 45 CONTRACT NUMBER | The name or identifier of the contract. | |
| cnt_id_class_name | "Contract identification code" (urn:plcs:rdl:std:Contract identification code) | The name of the class being used to classify the identification (Identification_assignment) of the contract. | |
| cnt_id_ecl_id | "'urn:plcs:rdl:pam738_751'" | The identifier of the External_class_library storing the definition of the class referenced by the parameter @cnt_id_class_name class. | |
| cnt_org_id | 'US Army'
NOTE It is assumed that the contract identifier is owned/assigned by the US Army. |
The name or identifier of the organization owning or holding the contract. | |
| cnt_org_id_class_name | "Organization name" (urn:plcs:rdl:std:Organization name) | The name of the class being used to classify the identification (Identification_assignment) of the organization. This provides the name of the organization. | |
| For organization identification codes, e.g. CAGE code, use "Organization identification code" (urn:plcs:rdl:std:Organization identification code) | The name of the class being used to classify the identification (Identification_assignment) of the organization. | ||
| cnt_org_id_ecl_id | "'urn:plcs:rdl:std'" | The identifier of the External_class_library storing the definition of the class referenced by the parameter @org_id_class_name class. | |
| items | Activity_actual | The items to which the contract is assigned | |
| Template #11 (Figure 10): assigning_descriptor | |||
|---|---|---|---|
| Description | The remarks block is represented by assigning_descriptor. | ||
| Parameter name: | Parameter value: | Parameter description: | |
| descr | Block REMARKS | The text being assigned as a descriptor. | |
| class_name | [Comment] |
The name of the class (External_class) being used to determine type of descriptor. | |
| ecl_id | "'urn:plcs:rdl:std'" | The id of the External_class_library that stores the class. | |
| is_assigned_to | Activity_actual | The entity to which the Document_assignment is assigned. | |
| Template #12 (Figure 10): assigning_activity_property |
|||
|---|---|---|---|
| Description | Assignment of properties to the activity. This template assigns the property name, while template #13
activity_property_value assigns the value and unit to a property instantiated by this template. |
||
| Parameter name: | Parameter value: | Parameter description: | |
| property_class_name |
[Man_hours_to_remove] , or [Man_hours_to_repair_or_overhaul] , or [Man_hours_to_install] |
||
| property_ecl_id |
"'urn:plcs:rdl:pam738_751'" | ||
| described_element |
Activity_actual | ||
| Template #13 (Figure 10): activity_property_value |
|||
|---|---|---|---|
| Description | Assigning the value and unit to an activity property. | ||
| Parameter name: | Parameter value: | Parameter description: | |
| value |
Block 35 (assigned to [Man_hours_to_remove] ) Block 42 (assigned to [Man_hours_to_repair_or_overhaul] ) Block 65 (assigned to [Man_hours_to_install] ) |
||
| unit_class_name |
For Block 35, 42 and 65: [hour] |
||
| unit_ecl_id |
"'urn:plcs:rdl:pam738_751'" | ||
| rep_class_name |
"PAM738-751context" | ||
| rep_ecl_id |
"'urn:plcs:rdl:pam738_751'" | ||
| property |
The
Activity_property
entity instantiated by the template
assigning_activity_property . |
||
| Template #14 (Figure 10): assigning_calendar_date | |||
|---|---|---|---|
| Description | Creation date for property value. Since DA2410 does not provide dates for property creation, the date for when the property was entered on the form is used, i.e. the date of the activity. | ||
| Parameter name: | Parameter value: | Parameter description: | |
| date_class_name | "Date actual observation" (urn:plcs:rdl:std:Date actual observation) | The name of the class being used to classify the role date assignment, e.g. the start date. | |
| date_ecl_id | "'urn:plcs:rdl:std'" | The id of the External_class_library in which the @date_class_name is defined. | |
| year | The 'year' component of the date of the activity:
Block 33 DATE REMOVED and Block 39 DATE CHECKED; (use one date for each above), or Block 63 DATE INSTALLED; or Block 75 DATE SHIPPED |
Calendar_date year_component | |
| month | The 'month' component of the date of the activity:
Block 33 DATE REMOVED and Block 39 DATE CHECKED; (use one date for each above), or Block 63 DATE INSTALLED; or Block 75 DATE SHIPPED |
Calendar_date month_component | |
| day | The 'day' component of the date of the activity:
Block 33 DATE REMOVED and Block 39 DATE CHECKED; (use one date for each above), or Block 63 DATE INSTALLED; or Block 75 DATE SHIPPED |
Calendar_date day_component | |
| items | Property_value_representation | The items to which the date is assigned. | |
| Template #15 (Figure 10): assigning_approval | |||
|---|---|---|---|
| Description | Any signature that is required should be represented as an approval. | ||
| Parameter name: | Parameter value: | Parameter description: | |
| person_id |
Block 36 PID, and
Block 40 PID, and Block 71 PID |
||
| person_id_class_name |
[PID] |
||
| person_id_ecl_id |
"'urn:plcs:rdl:pam738_751'" | ||
| last_name |
"/NULL" [Mandatory value is not known, not provided in DA2410 form] |
||
| org_id |
Block 34 UIC, and
Block 41 UIC, and Block 64 UIC |
The identifier (UIC) of the organization in which the approving person work. | |
| Block 34 CAGE code (for contractor), and
Block 41 CAGE code (for contractor), and Block 64 CAGE code (for contractor) |
The identifier (CAGE code) of the contractor organization in which the approving person work. | ||
| org_id_class_name |
[UIC] |
The name of the class (Unit Identification Code [UIC] ) being used to classify the identification (Identification_assignment) of the organization. This provides the role or reason for the identification. |
|
| "CAGE code" (urn:plcs:rdl:std:CAGE code) for contractors | The name of the class ( "CAGE code" (urn:plcs:rdl:std:CAGE code)) being used to classify the identification (Identification_assignment) of the contractor's organization. This provides the role or reason for the identification. | ||
| org_id_ecl_id |
"'urn:plcs:rdl:pam738_751'" for organizations identified with UIC. | ||
| "'urn:plcs:rdl:std'" for organizations (contractors) identified with CAGE code. | |||
| items | Activity_actual | The items to which the approval is assigned | |
| Template #16 (Figure 10): assigning_reference_data | |||
|---|---|---|---|
| Description | Further characterization of the activity is possible through external reference data, e.g. an Enhanced Special Repair Activity | ||
| Parameter name: | Parameter value: | Parameter description: | |
| class_name |
For Block 48: [SRA_ESRA] |
The name of the External_class being used. | |
| ecl_id | "'urn:plcs:rdl:pam738_751'" | The id of the External_class_library that stores the definition for the class being used. | |
| items | Activity_actual | The items to which the External_class is assigned. | |
| Template #17 (Figure 10): assigning_reference_data | |||
|---|---|---|---|
| Description | Name of Activity_method. The Activity_method is not given by the DA2410 form, but the process is governed by PAM738_751, so a fixed value is used here. | ||
| Parameter name: | Parameter value: | Parameter description: | |
| class_name |
'[PAM738_751_method] |
The name of the External_class being used. | |
| ecl_id | "'urn:plcs:rdl:pam738_751'" | The id of the External_class_library that stores the definition for the class being used. | |
| items | Activity_method | The items to which the External_class is assigned. | |
| Template #18 (Figure 10): assigning_reference_data | |||
|---|---|---|---|
| Description | Purpose of the Activity_method. The Activity_method is not given by the DA2410 form, but the process is governed by PAM738_751, so a fixed value is used here. | ||
| Parameter name: | Parameter value: | Parameter description: | |
| class_name |
[Aviation_maintenance] |
The name of the External_class being used. | |
| ecl_id | "'urn:plcs:rdl:pam738_751'" | The id of the External_class_library that stores the definition for the class being used. | |
| items | Activity_method | The items to which the External_class is assigned. | |
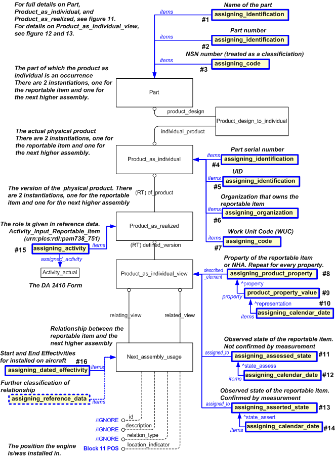
Reportable item identification
The subject of the activity that is recorded on the DA 2410 form is referred to as the reportable item. It is normally the aircraft or component on the aircraft on which the activity was undertaken. It is a physical product, therefore is represented in ISO 10303-239 PLCS by a Product_as_individual. This is described in the capability C045: representing_product_as_individual.
The reportable item is identified on the DA 2410 form by the part number, serial number, NSN number, part name and the CAGE code of the organization that manufactured the part.
The serial number is the identification of the Product_as_individual and is represented by an Identification_assignment classified as "Serial identification code" (urn:plcs:rdl:std:Serial identification code).
Each Product_as_individual has a version, represented by a Product_as_realized and identified by an Identification_assignment
The part number identifies the part type or design from which the reportable item was manufactured. In ISO 10303-239 PLCS the part type is represented by a Part (For details see the capability C002: representing_parts) which is identified by the part number. The identification is represented by an Identification_assignment assigned to the Part. (For details of identification, see the capability: C001: assigning_identifiers and the template: C001: assigning_identifiers). The identifiers are classified as a: "Part identification code" (urn:plcs:rdl:std:Part identification code) and "NATO Stock number" (urn:plcs:rdl:std:NATO Stock number).
The NSN is a classification of the fit, form and function, or interchangeability of the part, therefore the NSN is treated as a classification of the part. This is represented by the template: assigning_code.
A link is maintained between the representation of an actual product, (Product_as_individual) and the part type or design which is represented by a Part by instantiating a Product_design_to_individual.
The manufacturing organization is represented by assigning (Organization_or_person_in_organization_assignment) an Organization to the Product_as_individual. The assignment is classified as "Manufacturer of" (urn:plcs:rdl:std:Manufacturer of) to indicate that the organization is the manufacturer of the part.
The DA 2410 form does not record the Unique Identification (UID)
(http://www.acq.osd.mil/dpap/UID/)
of a reportable item.
If a UID is present, it is treated as an identification
represented in ISO 10303-239 PLCS by the assignment of an
identification to the
Product_as_individual
representing the reportable item.
The
Identification_assignment
is classified as
[UID]
Error RDL1: The class UID does not exist in RDL at URI urn:plcs:rdl:std. Check the dexlib/data/refdata/rdl_index.xml
.
For details of identification, see the capability:
C001: assigning_identifiers and the template:
C001: assigning_identifiers.
The reportable_item is related back to the
Activity_actual
that represents the DA 2410 form by an instance of
Applied_activity_assignments
classified as
[Activity_input_Reportable_item]
Error RDL4: The URI urn:plcs:rdl:pam738_751 is not listed in dexlib/data/refdata/rdl_index.xml
.
The use of
Applied_activity_assignment
is detailed in the template
assigning_activity.
An EXPRESS-G diagram showing how the reportable item is identified is shown below.

The following templates are used in the diagram and represent the various blocks on the DA2410 form:
| Template #1 (Figure 11): assigning_identification | |||
|---|---|---|---|
| Description | The item name, NOMENCLATURE (the name of the part). | ||
| Parameter name: | Parameter value: | Parameter description: | |
| id | Block 1 NOMENCLATURE | The identifier being assigned. | |
| For Next Higher Assembly:
Block 20 REMOVED FROM (NOMEN NHA), and Block 50 INSTALLED ON (NOMEN NHA) |
The identifier being assigned. | ||
| For Aircraft Model:
Block 30 ACFT MODEL, and Block 60 ACFT MODEL |
The identifier being assigned. | ||
| For failing subcomponent:
Block 49d NOMENCLATURE |
The identifier being assigned. | ||
| id_class_name | "Part name" (urn:plcs:rdl:std:Part name) | The name of the class used to classify the identifier (@id) and so provide the role or reason for the identification. | |
| id_ecl_id | urn:plcs:rdl:std | The id of the External_class_library storing the @id_class_name. | |
| org_id |
"/NULL"
NOTE The DA 2410 form only provides a part name, number and serial number. It does not provide the organization that assigned them. Hence /NULL is used. The use of a UID with an associated organization will resolve this. |
The identifier or name of the organization that "owns" the identifier. | |
| org_id_class_name | [Unknown_organization] |
Since organization is unknown. | |
| org_id_ecl_id | urn:plcs:rdl:std | The id of the External_class_library storing the org_id_class_name class items. | |
| items | Part | The part that is being identified by name (and reported on by the DA2410 form), represented as a Part. | |
| Template #2 (Figure 11): assigning_identification | |||
|---|---|---|---|
| Description | The Part number (identifier) of the item. | ||
| Parameter name: | Parameter value: | Parameter description: | |
| id | Block 3 PART NUMBER | The identifier being assigned. | |
| For Next Higher Assembly:
Block 22 PART NUMBER (NHA), and Block 52 PART NUMBER (NHA) |
The identifier being assigned. | ||
| For failing subcomponent:
Block 49e PART NUMBER |
The identifier being assigned. | ||
| For new part number:
Block 68 NEW PN |
Assign a assigning_calendar_date to the old Part Number Identification_assignment with class_name = "Date actual end" (urn:plcs:rdl:std:Date actual end), and assign a assigning_calendar_date to this new Part Number identification_assignment with id_class_name = "Date actual start" (urn:plcs:rdl:std:Date actual start). | ||
| id_class_name | "Part identification code" (urn:plcs:rdl:std:Part identification code) | The name of the class used to classify the identifier (@id) and so provide the role or reason for the identification. | |
| id_ecl_id | urn:plcs:rdl:std | The id of the External_class_library storing the @id_class_name. | |
| org_id |
"/NULL"
NOTE The DA 2410 form only provides a part name, number and serial number. It does not provide the organization that assigned them. Hence /NULL is used. The use of a UID with an associated organization will resolve this. |
The identifier or name of the organization that "owns" the identifier. | |
| org_id_class_name | [Unknown_organization] |
Since organization is unknown. | |
| org_id_ecl_id | urn:plcs:rdl:std | The id of the External_class_library storing the org_id_class_name class items. | |
| items | Part | The part that is being identified (and reported on by the DA2410 form), represented as a Part. | |
| Template #3 (Figure 11): assigning_code | |||
|---|---|---|---|
| Description | The National Stock Number (NSN) of the item. | ||
| Parameter name: | Parameter value: | Parameter description: | |
| class_name | Block 2 NSN, and
Block 21 NSN (NHA), and Block 51 NSN (NHA), and Block 67 NEW NSN |
The text representing the code. | |
| code_class_name | "NATO Stock number" (urn:plcs:rdl:std:NATO Stock number) | The name of the class in the reference data library (External_class) being used to determine type of code. | |
| code_ecl_id | urn:plcs:rdl:std | The id of the External_class_library that stores the External_class given in @code_class_name. | |
| items | Part | The part that is being identified by NSN (and reported on by the DA2410 form), represented as a Part. | |
| Template #4 (Figure 11): assigning_identification | |||
|---|---|---|---|
| Description | Software version for the item entered in Block 1, when required by TB 1-1500-341-01. | ||
| Parameter name: | Parameter value: | Parameter description: | |
| id | Block 19 VERSION | The identifier being assigned. | |
| id_class_name | "Version identification code" (urn:plcs:rdl:std:Version identification code) | The name of the class used to classify the identifier (@id) and so provide the role or reason for the identification. | |
| id_ecl_id | urn:plcs:rdl:std | The id of the External_class_library storing the @id_class_name. | |
| org_id |
"/NULL"
NOTE The DA 2410 form only provides a part name, number and serial number. It does not provide the organization that assigned them. Hence /NULL is used. The use of a UID with an associated organization will resolve this. |
The identifier or name of the organization that "owns" the identifier. | |
| org_id_class_name | [Unknown_organization] |
Since organization is unknown. | |
| org_id_ecl_id | urn:plcs:rdl:std | The id of the External_class_library storing the org_id_class_name class items. | |
| items | Part_version | The part version of the software, represented as a Part_version. | |
| Template #5 (Figure 11): assigning_identification | |||
|---|---|---|---|
| Description | The serial number of the item. | ||
| Parameter name: | Parameter value: | Parameter description: | |
| id | Block 4 SERIAL NUMBER | The identifier being assigned. | |
| For Next Higher Assembly:
Block 23 SERIAL NUMBER (NHA), and Block 53 SERIAL NUMBER (NHA) |
The identifier being assigned. | ||
| For the History Recorder:
Block 28 HISTORY RECORDER S/N, and Block 58 HISTORY RECORDER S/N |
The identifier being assigned. | ||
| For Aircraft:
Block 31 ACFT S/N, and Block 61 ACFT S/N |
The identifier being assigned. | ||
| For failing subcomponent:
Block 49f SERIAL NUMBER |
The identifier being assigned. | ||
| For a New Serial Number:
Block 69 NEW SN |
The identifier being assigned. | ||
| id_class_name | "Serial identification code" (urn:plcs:rdl:std:Serial identification code) | The name of the class used to classify the identifier (@id) and so provide the role or reason for the identification. | |
| id_ecl_id | urn:plcs:rdl:std | The id of the External_class_library storing the @id_class_name. | |
| org_id |
"/NULL"
NOTE The DA 2410 form only provides a part name, number and serial number. It does not provide the organization that assigned them. Hence /NULL is used. The use of a UID with an associated organization will resolve this. |
The identifier or name of the organization that "owns" the identifier. | |
| org_id_class_name | [Unknown_organization] |
Since organization is unknown. | |
| org_id_ecl_id | urn:plcs:rdl:std | The id of the External_class_library storing the org_id_class_name class items. | |
| items | Product_as_individual | The individual product that is being identified (and reported on by the DA2410 form), represented as a Product_as_individual. | |
| Template #6 (Figure 11): assigning_identification | |||
|---|---|---|---|
| Description | The UID (Unified Identifier) of the item. | ||
| Parameter name: | Parameter value: | Parameter description: | |
| id | The UID code [not on DA Form 2410] | The identifier being assigned. | |
| id_class_name |
[UID] |
The name of the class used to classify the identifier (@id) and so provide the role or reason for the identification. | |
| id_ecl_id | "'urn:plcs:rdl:pam738_751'" | The id of the External_class_library storing the @id_class_name. | |
| org_id | UIC or CAGE code of UID owner. | The identifier or name of the organization that owns the UID. | |
| org_id_class_name | [UIC] or "CAGE code" (urn:plcs:rdl:std:CAGE code) |
The name of the class being used to classify the identification of the organization, or the organization name (@org_id). For example CAGE code. | |
| org_id_ecl_id | "'urn:plcs:rdl:pam738_751'" or "'urn:plcs:rdl:std'" | The id of the External_class_library storing the @org_id_class_name. | |
| items | Product_as_individual | The individual product that is being identified (and reported on by the DA2410 form), represented as a Product_as_individual. | |
| Template #7 (Figure 11): assigning_organization | |||
|---|---|---|---|
| Description | Contractor and Government Entity Code that manufactured the item. | ||
| Parameter name: | Parameter value: | Parameter description: | |
| org_id | Block 5 CAGE CODE | The name or identifier of the organization. | |
| org_id_class_name | "CAGE code" (urn:plcs:rdl:std:CAGE code) | The name of the class being used to classify the identification (Identification_assignment) of the organization. This provides the role or reason for the identification. For example CAGE code. | |
| org_id_ecl_id | urn:plcs:rdl:std | The identifier of the External_class_library storing the definition of the class referenced by the parameter @org_id_class_name. | |
| org_assgn_class_name | "Manufacturer of" (urn:plcs:rdl:std:Manufacturer of) | The name of the class being used to classify the assignment of the organization. (Organization_or_person_in_organization_assignment) This provides the role or reason for the assignment. For example 'Owner_of'. | |
| org_assgn_ecl_id | urn:plcs:rdl:std | The identifier of the External_class_library storing the definition of the class referenced by the parameter @org_assgn_class_name. | |
| items | Product_as_individual | The individual product to which the organization is being assigned, represented as a Product_as_individual. | |
| Template #8 (Figure 11): assigning_code | |||
|---|---|---|---|
| Description | Applicable Work Unit Code. | ||
| Parameter name: | Parameter value: | Parameter description: | |
| class_name | Block 14 WUC | The text representing the code. | |
| code_class_name | [Work_unit_code] |
The name of the class in the reference data library (External_class) being used to determine type of code. | |
| code_ecl_id | "'urn:plcs:rdl:pam738_751'" | The id of the External_class_library that stores the External_class given in @code_class_name. | |
| items | Product_as_individual | The individual product to which the WUC is being assigned, represented as a Product_as_individual. | |
The use of template #9 assigning_activity in Figure 11 is identical to, and described in, template table: Template #1(Figure 10).
Properties of the Reportable item
The DA2410 form records a number of properties of the reportable
item, such as the aircraft hours, the hours since last repair.
These are represented as properties in
ISO 10303-239 PLCS and are described in the capabilities
C076: assigning_product_properties,
C079: representing_properties_numerically
and detailed in the templates
assigning_product_property
and
product_property_value
Error T1: DEX product_property_value not in Dexlib
.
The template
assigning_product_property
is used to assign a named property to the product. The name of the
property is provided by reference data.
The template
product_property_value
Error T1: DEX product_property_value not in Dexlib
is used to represent the value of the property and its unit.
The units are represented by reference data.
In ISO 10303-239 PLCS properties on a product are specified in a given context or view on a version of product, for example, the design cost properties would be represented in the design view. The context dependent view of a version Product_as_realized is represented by Product_as_individual_view and an associated context represented by a View_definition_context. The context is classified according to the life cycle view and application domain. For the DA2410 form the life cycle view is "Support stage" (urn:plcs:rdl:std:Support stage) and the application domain is "Product life cycle support" (urn:plcs:rdl:std:Product life cycle support)
An EXPRESS-G diagram showing how properties on reportable on a reportable item are represented is shown below in Figure 12.

The following templates are used in the diagram and represent the various blocks on the DA2410 form:
| Template #1 (Figure 12): assigning_reference_data | |||
|---|---|---|---|
| Description | The life cycle state in which the product_as_individual is. Should always be set to the same value. | ||
| Parameter name: | Parameter value: | Parameter description: | |
| class_name | "Support stage" (urn:plcs:rdl:std:Support stage) | The name of the External_class being used. | |
| ecl_id | "'urn:plcs:rdl:std'" | The id of the External_class_library that stores the definition for the class being used. | |
| items | View_definition_context | The items to which the External_class is assigned. | |
| Template #2 (Figure 12): assigning_reference_data | |||
|---|---|---|---|
| Description | The application domain to which this information pertains. Should always be set to the same value. | ||
| Parameter name: | Parameter value: | Parameter description: | |
| class_name | "Product life cycle support" (urn:plcs:rdl:std:Product life cycle support) | The name of the External_class being used. | |
| ecl_id | "'urn:plcs:rdl:std'" | The id of the External_class_library that stores the definition for the class being used. | |
| items | View_definition_context | The items to which the External_class is assigned. | |
| Template #3 (Figure 12): assigning_product_property | |||
|---|---|---|---|
| Description | Properties can be assigned to individual products through this template. The value of the property is given in template table: Template #4(Figure 12). | ||
| Parameter name: | Parameter value: | Parameter description: | |
| property_class_name | For Block 6: [Number_previous_overhauls] |
The class name corresponding to the property name. | |
| For Block 7: [Time_since_last_installed] |
The class name corresponding to the property name. | ||
| For Block 8: [Time_since_new] |
The class name corresponding to the property name. | ||
| For Block 9: [Time_since_overhaul] |
The class name corresponding to the property name. | ||
| For Block 12: [Hot_section_factors] |
The class name corresponding to the property name. | ||
| For Block 13: [Meter_hour_readings] |
The class name corresponding to the property name. | ||
| For Block 15a: [LCF1] |
The class name corresponding to the property name. | ||
| For Block 15b: [LCF2] |
The class name corresponding to the property name. | ||
| For Block 15c: [TTI] |
The class name corresponding to the property name. | ||
| For Block 15d: [Cumulative_operating_hours] |
The class name corresponding to the property name. | ||
| For Block 16: [Number_starts_since_new] |
The class name corresponding to the property name. | ||
| For Block 17: [Hours_since_new] |
The class name corresponding to the property name. | ||
| For Block 18: [Number_starts_since_overhauled] |
The class name corresponding to the property name. | ||
| For Block 24 and Block 54: [Aircraft_hours_property] , or if NHA is not the Aircraft: [NHA_operating_hours] |
The class name corresponding to the property name. | ||
| For Block 25 and Block 55: [NHA_cumulative_counts_hours] |
The class name corresponding to the property name. | ||
| For Block 26 and Block 56: [APU_start_meter] |
The class name corresponding to the property name. | ||
| For Block 27 and Block 57: [APU_hour_meter] |
The class name corresponding to the property name. | ||
| For Block 29 and Block 59: [History_recorder_reading] |
The class name corresponding to the property name. | ||
| For Block 49g: [Cumulative_counts_hours_last_depot_repair] |
The class name corresponding to the property name. | ||
| property_ecl_id | "'urn:plcs:rdl:pam738_751'" | The identifier of the External_class_library storing the definition of the class referenced by the parameter @property_class_name. | |
| described_element | Product_as_individual_view | The item to which the property is assigned | |
| Template #4 (Figure 12): product_property_value |
|||
|---|---|---|---|
| Description | Used to assign property values to properties instantiated e.g. in the template assigning_product_property. Property values are assumed to have been assigned at the same date as the Product_as_realized has been given. If this is not the case, a specific date should be assigned to the property value through the use of template assigning_calendar_date. | ||
| Parameter name: | Parameter value: | Parameter description: | |
| value |
Block 6 PREV O/H |
The value of the property
[Number_previous_overhauls] in template table: Template #3(Figure 12) |
|
| Block 7 TIME SINCE LAST INST (HRS) |
The value of the property
[Time_since_last_installed] in template table: Template #3(Figure 12) |
||
| Block 8 TIME SINCE NEW (HRS) |
The value of the property
[Time_since_new] in template table: Template #3(Figure 12) |
||
| Block 9 TIME SINCE OVERHAUL (HRS) |
The value of the property
[Time_since_overhaul] in template table: Template #3(Figure 12) |
||
| Block 12 HSF |
The value of the property
[Hot_section_factors] in template table: Template #3(Figure 12) |
||
| Block 13 METER HRS |
The value of the property
[Meter_hour_readings] in template table: Template #3(Figure 12) |
||
| Block 15a COMPONENT CUMULATIVE COUNT/HOURS; LCF 1 |
The value of the property
[LCF1] in template table: Template #3(Figure 12) |
||
| Block 15b COMPONENT CUMULATIVE COUNT/HOURS; LCF 2 |
The value of the property
[LCF2] in template table: Template #3(Figure 12) |
||
| Block 15c COMPONENT CUMULATIVE COUNT/HOURS; TTI |
The value of the property
[TTI] in template table: Template #3(Figure 12) |
||
| Block 15d COMPONENT CUMULATIVE COUNT/HOURS; OP HOURS |
The value of the property
[Cumulative_operating_hours] in template table: Template #3(Figure 12) |
||
| Block 16 APU SSN |
The value of the property
[Number_starts_since_new] in template table: Template #3(Figure 12) |
||
| Block 17 APU HRS |
The value of the property
[Hours_since_new] in template table: Template #3(Figure 12) |
||
| Block 18 APU SSO |
The value of the property
[Number_starts_since_overhauled] in template table: Template #3(Figure 12) |
||
| Block 24 HOURS (NHA), and
Block 54 HOURS (NHA) |
The value of the property
[Aircraft_hours_property] , or if NHA is not the Aircraft [NHA_operating_hours] , in template table: Template #3(Figure 12) |
||
| Block 25 NHA CUMULATIVE COUNTS/HOURS, and
Block 55 NHA CUMULATIVE COUNTS/HOURS |
The value of the property
[NHA_cumulative_counts_hours] in template table: Template #3(Figure 12) |
||
| Block 26 APU START METER, and
Block 56 APU START METER |
The value of the property
[APU_start_meter] in template table: Template #3(Figure 12) |
||
| Block 27 APU HOUR METER, and
Block 57 APU HOUR METER |
The value of the property
[APU_hour_meter] in template table: Template #3(Figure 12) |
||
| Block 29 HISTORY RECORDER READING, and
Block 59 HISTORY RECORDER READING |
The value of the property
[History_recorder_reading] in template table: Template #3(Figure 12) |
||
| Block 49g CUMULATIVE COUNTS/hours LAST DEPOT REPAIR |
The value of the property
[Cumulative_counts_hours_last_depot_repair] in template table: Template #3(Figure 12) |
||
| unit_class_name |
For Block 6: [Count] |
The unit corresponding to the property
[Number_previous_overhauls] in template table: Template #3(Figure 12) |
|
|
For Block 7: [hour] |
The unit corresponding to the property
[Time_since_last_installed] in template table: Template #3(Figure 12) |
||
| For Block 8: [hour] |
The unit corresponding to the property
[Time_since_new] in template table: Template #3(Figure 12) |
||
| For Block 9: [hour] |
The unit corresponding to the property
[Time_since_overhaul] in template table: Template #3(Figure 12) |
||
| For Block 12: [Hot_section_factor_unit] |
The unit corresponding to the property
[Hot_section_factors] in template table: Template #3(Figure 12) |
||
| For Block 13: [Hour_meter_unit] |
The unit corresponding to the property
[Meter_hour_readings] in template table: Template #3(Figure 12) |
||
| For Block 15a: [LCF1_unit] |
The unit corresponding to the property
[LCF1] in template table: Template #3(Figure 12) |
||
| For Block 15b: [LCF2_unit] |
The unit corresponding to the property
[LCF2] in template table: Template #3(Figure 12) |
||
| For Block 15c: [TTI_count] |
The unit corresponding to the property
[TTI] in template table: Template #3(Figure 12) |
||
| For Block 15d: [hour] |
The unit corresponding to the property
[Cumulative_operating_hours] in template table: Template #3(Figure 12) |
||
| For Block 16: [Engine_starts] |
The unit corresponding to the property
[Number_starts_since_new] in template table: Template #3(Figure 12) |
||
| For Block 17: [Aircraft_hour] |
The unit corresponding to the property
[Hours_since_new] in template table: Template #3(Figure 12) |
||
| For Block 18: [Engine_starts] |
The unit corresponding to the property
[Number_starts_since_overhauled] in template table: Template #3(Figure 12) |
||
| For Block 24: [Aircraft_hour] or [hour] , and Block 54: [Aircraft_hour] or [hour] |
The unit [Aircraft_hour] corresponding to the property [Aircraft_hours_property] , or if NHA is not the Aircraft: the unit [hour] corresponding to the property [NHA_operating_hours] , in template table: Template #3(Figure 12) |
||
| For Block 25: [hour] , and Block 55: [hour] |
The unit corresponding to the property
[NHA_cumulative_counts_hours] in template table: Template #3(Figure 12) |
||
| For Block 26: [APU_start_meter_unit] , and Block 56: [APU_start_meter_unit] |
The unit corresponding to the property
[APU_start_meter] in template table: Template #3(Figure 12) |
||
| For Block 27: [Hour_meter_unit] , and Block 57: [Hour_meter_unit] |
The unit corresponding to the property
[APU_hour_meter] in template table: Template #3(Figure 12) |
||
| For Block 29: [History_recorder_unit] , and Block 59: [History_recorder_unit] |
The unit corresponding to the property
[History_recorder_reading] in template table: Template #3(Figure 12) |
||
| For Block 49G: [hour] |
The unit corresponding to the property
[Cumulative_counts_hours_last_depot_repair] in template table: Template #3(Figure 12) |
||
| unit_ecl_id |
"'urn:plcs:rdl:pam738_751'" | ||
| rep_class_name |
"PAM738-751context" | ||
| rep_ecl_id |
"'urn:plcs:rdl:pam738_751'" | ||
| property |
The Assigned_property entity instantiated by the template assigning_product_property. | ||
| Template #5 (Figure 12): assigning_calendar_date | |||
|---|---|---|---|
| Description | Creation date for property value. Since DA2410 does not provide dates for property creation, the date for when the property was entered on the form is used, i.e. the date of the activity. | ||
| Parameter name: | Parameter value: | Parameter description: | |
| date_class_name | "Date actual observation" (urn:plcs:rdl:std:Date actual observation) | The name of the class being used to classify the role date assignment, e.g. the start date. | |
| date_ecl_id | 'urn:plcs:rdl:std' | The id of the External_class_library in which the @date_class_name is defined. | |
| year | The 'year' component of the date of the activity:
Block 33 DATE REMOVED, or Block 39 DATE CHECKED; (use one date for each above), or Block 63 DATE INSTALLED, or Block 75 DATE SHIPPED |
Calendar_date year_component | |
| month | The 'month' component of the date of the activity:
Block 33 DATE REMOVED and Block 39 DATE CHECKED; (use one date for each above), or Block 63 DATE INSTALLED; or Block 75 DATE SHIPPED |
Calendar_date month_component | |
| day | The 'day' component of the date of the activity:
Block 33 DATE REMOVED and Block 39 DATE CHECKED; (use one date for each above), or Block 63 DATE INSTALLED; or Block 75 DATE SHIPPED |
Calendar_date day_component | |
| items | Property_value_representation | The items to which the date is assigned. | |
The use of template #6 assigning_activity in Figure 12 is identical to, and described in, template table: Template #1(Figure 10).
The DA2410 form records a number of states of the reportable item and the next higher assembly, such as the fault state of the reportable item and the serviceability state.
In ISO 10303-239 PLCS a distinction is made between states that a product could possibly be in, the set of all fault states for example, and the actual state that a product is in. These are referred to defined states and observed states respectively and are represented by State_definition and State_observed.
An observed state is related to the defined state (State_definition), of which it is an occurrence, by State_assessment and State_assertion.
The State_assessment indicates that an assumption has been made that something, such as a Product_as_realized, is in a state (State_observed) that resembles the state defined by the State_definition.
The State_assertion is used to assert that, based on evidence such as measurements, something, such as a Product_as_realized, is in a state (State_observed) that is equal to the state defined by the State_definition.
The representations of defined and observed states are described in the capabilities C007: representing_state_type and C041: representing_state_observed. The representation of an assessed state is detailed in the template assigning_assessed_state and the representation of an asserted state is detailed in the template assigning_asserted_state.
An EXPRESS-G diagram showing how the state of the reportable item is identified is shown below.

The following templates are used in the diagram and represent the various blocks on the DA2410 form.
The use of template #1 assigning_reference_data in Figure 13 is identical to, and described in, template table: Template #1(Figure 12).
The use of template #2 assigning_reference_data in Figure 13 is identical to, and described in, template table: Template #2(Figure 12).
| Template #3 (Figure 13): assigning_assessed_state | |||
|---|---|---|---|
| Description | An assessed state of an item, expressed in terms of State_definition (e.g. failure code). | ||
| Parameter name: | Parameter value: | Parameter description: | |
| state_class_name | For Block 10 FAILURE CODE: [Failure_code] |
The class name of the External_class corresponding to the State_definition name. | |
| For Block 43 INSPECTION AND ACTION CODES: [Inspection_and_action_codes] |
The class name of the External_class corresponding to the State_definition name. | ||
|
For Block 37: [Malfunction_code] |
The class name of the External_class corresponding to the State_definition name. | ||
| state_ecl_id | "'urn:plcs:rdl:pam738_751'" | The identifier of the External_class_library storing the definition of the class referenced by the parameter @state_class_name. | |
| assigned_to | Product_as_individual_view | The activity, product, individual, task_method, etc to which the state is assigned | |
| Template #4 (Figure 13): assigning_calendar_date | |||
|---|---|---|---|
| Description | The date the state was assessed. In DA2410, this corresponds best to 'date checked'. If that block is not used, another date should be used here, combined with the proper date_class_name. | ||
| Parameter name: | Parameter value: | Parameter description: | |
| date_class_name | "Date actual assessment" (urn:plcs:rdl:std:Date actual assessment) | The name of the class being used to classify the role date assignment, e.g. the start date. | |
| date_ecl_id | "'urn:plcs:rdl:std'" | The id of the External_class_library in which the @date_class_name is defined. | |
| year | The 'year' component of Block 39 DATE CHECKED | Calendar_date year_component | |
| month | The 'month' component of Block 39 DATE CHECKED | Calendar_date month_component | |
| day | The 'day' component of Block 39 DATE CHECKED | Calendar_date day_component | |
| items | State_assessment | The items to which the date is assigned. | |
| Template #5 (Figure 13): assigning_business_specific_reference_data | |||
|---|---|---|---|
| Description | Encoding of when the state (fault) was discovered. | ||
| Parameter name: | Parameter value: | Parameter description: | |
| class_name | For Block 38 WHEN DISCOVERED: [When_discovered_codes] |
The name of the class in the business specific reference data library (External_class) being used to classify something | |
| ecl_id | "'urn:plcs:rdl:pam738_751'" | The id of the business_specific External_class_library that stores the class. | |
| plcs_class_name |
[State_context] |
The name of the first plcs superclass encountered in the plsc standard reference data library (External_class) when traversing the class hierarchy for the assigned business specific (External_class). | |
| items | Activity_actual | The activity that is being reported on by the DA2410 form, represented as an Activity_actual. | |
| Template #6 (Figure 13): assigning_asserted_state | |||
|---|---|---|---|
| Description | An assertion (verification) of a state of an item, expressed in terms of State_definition (e.g. failure code). | ||
| Parameter name: | Parameter value: | Parameter description: | |
| state_class_name | For Block 47 ACTUAL FAILURE CODE: [Failure_code] |
The class name of the External_class corresponding to the State_definition name. | |
| For Block 49a FAIL CODE: [Failure_code] |
The class name of the External_class corresponding to the State_definition name. | ||
| state_ecl_id | "'urn:plcs:rdl:pam738_751'" | The identifier of the External_class_library storing the definition of the class referenced by the parameter @state_class_name. | |
| assigned_to | Product_as_individual_view | The activity, product, individual, task_method, etc to which the state is assigned | |
| Template #7 (Figure 13): assigning_calendar_date | |||
|---|---|---|---|
| Description | The date of the state assertion. Since DA2410 does not record the date of the assertion of states, the date of the activity itself should be used. | ||
| Parameter name: | Parameter value: | Parameter description: | |
| date_class_name | "Date actual assertion" (urn:plcs:rdl:std:Date actual assertion) | The name of the class being used to classify the role date assignment, e.g. the start date. | |
| date_ecl_id | "'urn:plcs:rdl:std'" | The id of the External_class_library in which the @date_class_name is defined. | |
| year | The 'year' component of the date of the activity:
Block 33 DATE REMOVED and Block 39 DATE CHECKED; (use one date for each above), or Block 63 DATE INSTALLED; or Block 75 DATE SHIPPED |
Calendar_date year_component | |
| month | The 'month' component of the date of the activity:
Block 33 DATE REMOVED and Block 39 DATE CHECKED; (use one date for each above), or Block 63 DATE INSTALLED; or Block 75 DATE SHIPPED |
Calendar_date month_component | |
| day | The 'day' component of the date of the activity:
Block 33 DATE REMOVED and Block 39 DATE CHECKED; (use one date for each above), or Block 63 DATE INSTALLED; or Block 75 DATE SHIPPED |
Calendar_date day_component | |
| items | State_assertion | The items to which the date is assigned. | |
The use of template #8 assigning_activity in Figure 13 is identical to, and described in, template table: Template #1(Figure 10).
APU, History recorder, On Board Monitoring System
The DA2410 form also provides details of the Auxiliary Power Unit, History recorder, On Board Monitoring System on the aircraft. These are treated like any other products therefore represented by instances of Product_as_individuals as described in Reportable item identification. Properties are represented by instances of Assigned_property as described in Properties of the Reportable item. These two sections also contain more detailed information about the APU, History recorder, and the On Board Monitoring System.
The APU, History recorder, and the On Board Monitoring System are related back to the Activity_actual that represents the DA 2410 form by an instance of Applied_activity_assignments classified as:
The use of Applied_activity_assignment is detailed in the template assigning_activity.
Installation/Removal position on the Aircraft
The DA2410 form specifies the position of the reportable item on the aircraft by referring to the next higher assembly from which the reportable item is removed. The next higher assembly is treated like any other product and is therefore represented by instances of Product_as_individuals as described in Reportable item identification.
The relationship between the reportable item and the next higher
assembly is represented by a
Next_assembly_usage
This is described in the capability
representing_product_as_realized_assembly
Error C1: Capability representing_product_as_realized_assembly not in dex_index.xml
.
The reportable item can be installed or removed from a series of aircraft. The dates when the installation / removal occurs is represented by dated effectivities (Dated_effectivity) applied to the Next_assembly_usage. This gives the start and end date for which the Next_assembly_usage. is valid. In other words the date of installation / removal. The use of effectivities is described in the capability C006: assigning_effectivity and the assignment of a dated effectivity is detailed in the template assigning_dated_effectivity.
An EXPRESS-G diagram showing how the position of the reportable item on the aircraft is represented is shown below in Figure 14.

The following templates are used in the diagram and represent the various blocks on the DA2410 form.
The use of template #1 assigning_identification in Figure 14 is identical to, and described in, template table: Template #1(Figure 11).
The use of template #2 assigning_identification in Figure 14 is identical to, and described in, template table: Template #2(Figure 11).
The use of template #3 assigning_code in Figure 14 is identical to, and described in, template table: Template #3(Figure 11).
The use of template #4 assigning_identification in Figure 14 is identical to, and described in, template table: Template #5(Figure 11).
The use of template #5 assigning_identification in Figure 14 is identical to, and described in, template table: Template #6(Figure 11).
The use of template #6 assigning_organization in Figure 14 is identical to, and described in, template table: Template #7(Figure 11).
The use of template #7 assigning_code in Figure 14 is identical to, and described in, template table: Template #8(Figure 11).
The use of template #8 assigning_product_property in Figure 14 is identical to, and described in, template table: Template #3(Figure 12).
The use of template #9
product_property_value
Error T1: DEX product_property_value not in Dexlib
in
Figure 14
is identical to, and described in,
template table:
Template #4(Figure 12).
The use of template #10 assigning_calendar_date in Figure 14 is identical to, and described in, template table: Template #5(Figure 12).
The use of template #11 assigning_assessed_state in Figure 14 is identical to, and described in, template table: Template #3(Figure 13).
The use of template #12 assigning_calendar_date in Figure 14 is identical to, and described in, template table: Template #4(Figure 12).
The use of template #13 assigning_asserted_state in Figure 14 is identical to, and described in, template table: Template #5(Figure 13).
The use of template #14
assigning_calendar_date in
Figure 14
is identical to, and described in,
Error template_table: template table referenced by figure_id=prop_expg instance=
6 does not exist
template table:
Template #6(Figure 12).
The use of template #15 assigning_activity in Figure 14 is identical to, and described in, template table: Template #1(Figure 10).
| Template #16 (Figure 14): assigning_dated_effectivity | |||
|---|---|---|---|
| Description | Start date for item being installed on aircraft (set by activity installation). | ||
| Parameter name: | Parameter value: | Parameter description: | |
| start_year | The year component of Block 63 DATE INSTALLED | Calendar_date year_component of the effectivity start date and time. | |
| start_month | The month component of Block 63 DATE INSTALLED | Calendar_date month_component of the effectivity start date and time. | |
| start_day | The day component of Block 63 DATE INSTALLED | Calendar_date day_component of the effectivity start date and time. | |
| start_hour | "" (not given in DA2410) | Local_time hour_component of the effectivity start date and time. | |
| start_minute | "" (not given in DA2410) | Local_time minute_component of the effectivity start date and time. This parameter is optional. If not given, it will remain unset. | |
| start_second | "" (not given in DA2410) | Local_time day_component of the effectivity start date and time. This parameter is optional. If not given, it will remain unset. | |
| end_year | The year component of Block 33 DATE REMOVED | Calendar_date year_component of the effectivity end date and time. This parameter is optional. If not given, it will remain unset. | |
| end_month | The month component of Block 33 DATE REMOVED | Calendar_date month_component of the effectivity end date and time. This parameter is optional. If not given, it will remain unset. | |
| end_day | The day component of Block 33 DATE REMOVED | Calendar_date day_component of the effectivity end date and time. This parameter is optional. If not given, it will remain unset. | |
| end_hour | "" (not given in DA2410) | Local_time hour_component of the effectivity end date and time. This parameter is optional. If not given, it will remain unset. | |
| end_minute | "" (not given in DA2410) | Local_time minute_component of the effectivity end date and time. This parameter is optional. If not given, it will remain unset. | |
| end_second | "" (not given in DA2410) | Local_time second_component of the effectivity end date and time. This parameter is optional. If not given, it will remain unset. | |
| role_class_name | "Actual effectivity" (urn:plcs:rdl:std:Actual effectivity) | The name of the class being used to classify the effectivity assignment (Effectivity_assignment) This provides the role for the assignment. | |
| role_ecl_id | urn:plcs:rdl:std | The identifier of the External_class_library storing the definition of the class referenced by the parameter @role_class_name. | |
| items | Next_assembly_usage | The items to which the dated effectivity is assigned. | |
The DA2410 form provides details of the parts that were replaced during a repair/overhaul cycle. (Blocks 49).
Activities to be performed on a product are frequently defined as tasks or maintenance procedures. These are developed as part of the support solution for a product. These tasks specifications provide a structured description of how to perform a maintenance activity and detail the resources that are required. In ISO 10303-239 PLCS tasks are represented by Task_element_assignment described in C015: representing_task and the resources required to perform the task are represented by Resource_item as described in C052: representing_resource. The actual resource that was used to perform the task is represented by Resource_as_realized as described in C085: representing_resource_as_realized. The DA2410 reports on the activity undertaken, it does not make any reference to either the task or the resources. It simply lists the parts that were replaced during an activity. This could be represented in ISO 10303-239 PLCS by assigning the Activity_actual to the representation of the replaced parts. However, in order to enable the representation of the tasks and resources at some stage, it is recommended that the replaced parts are represented by Resource_as_realized and Resource_item as shown in Figure 15.
The Resource_item represents a resource - something that is required to perform a task. For example tools or spare parts. The Resource_as_realized represents the actual resource that was used during the activity, a particular part - the parts that were replaced.

The following templates are used in the diagram and represent the various blocks on the DA2410 form:
| Template #1 (Figure 15): assigning_reference_data | |||
|---|---|---|---|
| Description | The correct Maintenance Action Code for each failing item. | ||
| Parameter name: | Parameter value: | Parameter description: | |
| class_name | For Block 49c ACT: [Maintenance_action_codes] |
The name of the External_class being used. | |
| ecl_id | "'urn:plcs:rdl:pam738_751'" | The id of the External_class_library that stores the definition for the class being used. | |
| items | Resource_as_realized_assignment | The items to which the External_class is assigned. | |
| Template #2 (Figure 15): representing_count | |||
|---|---|---|---|
| Description | Total quantity for each failing item. | ||
| Parameter name: | Parameter value: | Parameter description: | |
| value | Block 49b QTY | The value of the quantity. Default value is 1. The datatype is always 'any_number_value' and should not be registered together with the value, i.e. enter the value as a number, without datatype. | |
Note:
Mapping of Block 49a is described in
template table:
Template #3(Figure 13).
Mapping of Block 49d is described in
template table:
Template #1(Figure 11).
Mapping of Block 49e is described in
template table:
Template #2(Figure 11).
Mapping of Block 49f is described in
template table:
Template #5(Figure 11).
Mapping of Block 49g is described in
template table:
Template #3(Figure 12) and
template table:
Template #4(Figure 12).
Change of Part Number, Serial Number, and NSN
During repair or overhaul, an item may be given a new Part Number, Serial Number and NSN code. Typically when a change is made to the fit, form or functionality. In order to track the reportable item through life, it is important to maintain a history of the identifiers that have been assigned to the reportable item. This is represented by assigning multiple identifiers to the reportable item and using dated effectivity (applicability) to determine which of the Part Number, Serial Number, and NSN identifiers are applicable at any moment in time.
The use of effectivities is described in the capability C006: assigning_effectivity and the assignment of a dated effectivity is detailed in the template assigning_dated_effectivity.
An EXPRESS-G diagram showing how the changes to Part Number, Serial Number and NSN codes is represented shown below in Figure 16.

The following templates are used in the diagram and represent the various blocks on the DA2410 form.
The use of template #1 assigning_identification in Figure 16 is identical to, and described in, template table: Template #2(Figure 11).
Template #2 assigning_dated_effectivity in Figure 16 should not be instantiated when assigning an end date to the effectivity. Instead, the relevant existing dated effectivity should be extended with the end date, as described in template table: Template #3(Figure 16) below.
| Template #3 (Figure 16): representing_date_time | |||
|---|---|---|---|
| Description | Adding an End Date to an existing dated effectivity by instantiating an attribute value to entity Dated_effectivity attribute end_bound. The end_bound date of this effectivity (Previous Part number) should be the same as the start_bound date of the effectivity for the New Part number. | ||
| Parameter name: | Parameter value: | Parameter description: | |
| year | The 'year' component of:
Block 39 DATE CHECKED, or Block 63 DATE INSTALLED |
Calendar_date year_component of the date and time. | |
| month | The 'month' component of:
Block 39 DATE CHECKED, or Block 63 DATE INSTALLED |
Calendar_date month_component of the date and time. | |
| day | The 'day' component of:
Block 39 DATE CHECKED, or Block 63 DATE INSTALLED |
Calendar_date day_component of the date and time. | |
| hour | "00" (since there is no time given on DA2410) | Local_time hour_component of the date and time. | |
| minute | "" (since there is no time given on DA2410) | Local_time minute_component of the date and time. This parameter is optional. If not given, it will remain unset. | |
| second | "" (since there is no time given on DA2410) | Local_time second_component of the date and time. This parameter is optional. If not given, it will remain unset. | |
| sense | "" (since there is no time given on DA2410) | The direction of the offset. Type (Enumeration) values are: 'ahead', 'exact' or 'behind'. | |
| hour_offset | "" (since there is no time given on DA2410) | The number of hours by which a time is offset from Coordinated Universal Time. | |
| minute_offset | "" (since there is no time given on DA2410) | The number of minutes by which a time is offset from Coordinated Universal Time. The value of this attribute need not be specified. This parameter is optional. If not given, it will remain unset. | |
The use of template #4 assigning_code in Figure 16 is identical to, and described in, template table: Template #3(Figure 11).
Template #5 assigning_dated_effectivity in Figure 16 should not be instantiated when assigning an end date to the effectivity. Instead, the relevant existing dated effectivity should be extended with the end date, as described in template table: Template #6(Figure 16) below.
| Template #6 (Figure 16): representing_date_time | |||
|---|---|---|---|
| Description | Adding an End Date to an existing dated effectivity by instantiating an attribute value to entity Dated_effectivity attribute end_bound. The end_bound date of this effectivity (Previous NSN code) should be the same as the start_bound date of the effectivity for the New NSN code. | ||
| Parameter name: | Parameter value: | Parameter description: | |
| year | The 'year' component of:
Block 39 DATE CHECKED, or Block 63 DATE INSTALLED |
Calendar_date year_component of the date and time. | |
| month | The 'month' component of:
Block 39 DATE CHECKED, or Block 63 DATE INSTALLED |
Calendar_date month_component of the date and time. | |
| day | The 'day' component of:
Block 39 DATE CHECKED, or Block 63 DATE INSTALLED |
Calendar_date day_component of the date and time. | |
| hour | "00" (since there is no time given on DA2410) | Local_time hour_component of the date and time. | |
| minute | "" (since there is no time given on DA2410) | Local_time minute_component of the date and time. This parameter is optional. If not given, it will remain unset. | |
| second | "" (since there is no time given on DA2410) | Local_time second_component of the date and time. This parameter is optional. If not given, it will remain unset. | |
| sense | "" (since there is no time given on DA2410) | The direction of the offset. Type (Enumeration) values are: 'ahead', 'exact' or 'behind'. | |
| hour_offset | "" (since there is no time given on DA2410) | The number of hours by which a time is offset from Coordinated Universal Time. | |
| minute_offset | "" (since there is no time given on DA2410) | The number of minutes by which a time is offset from Coordinated Universal Time. The value of this attribute need not be specified. This parameter is optional. If not given, it will remain unset. | |
The use of template #7 assigning_identification in Figure 16 is identical to, and described in, template table: Template #5(Figure 11).
Template #8 assigning_dated_effectivity in Figure 16 should not be instantiated when assigning an end date to the effectivity. Instead, the relevant existing dated effectivity should be extended with the end date, as described in template table: Template #9(Figure 16) below.
| Template #9 (Figure 16): representing_date_time | |||
|---|---|---|---|
| Description | Adding an End Date to an existing dated effectivity by instantiating an attribute value to entity Dated_effectivity attribute end_bound. The end_bound date of this effectivity (Previous Part Serial number) should be the same as the start_bound date of the effectivity for the New Part Serial number. | ||
| Parameter name: | Parameter value: | Parameter description: | |
| year | The 'year' component of:
Block 39 DATE CHECKED, or Block 63 DATE INSTALLED |
Calendar_date year_component of the date and time. | |
| month | The 'month' component of:
Block 39 DATE CHECKED, or Block 63 DATE INSTALLED |
Calendar_date month_component of the date and time. | |
| day | The 'day' component of:
Block 39 DATE CHECKED, or Block 63 DATE INSTALLED |
Calendar_date day_component of the date and time. | |
| hour | "00" (since there is no time given on DA2410) | Local_time hour_component of the date and time. | |
| minute | "" (since there is no time given on DA2410) | Local_time minute_component of the date and time. This parameter is optional. If not given, it will remain unset. | |
| second | "" (since there is no time given on DA2410) | Local_time second_component of the date and time. This parameter is optional. If not given, it will remain unset. | |
| sense | "" (since there is no time given on DA2410) | The direction of the offset. Type (Enumeration) values are: 'ahead', 'exact' or 'behind'. | |
| hour_offset | "" (since there is no time given on DA2410) | The number of hours by which a time is offset from Coordinated Universal Time. | |
| minute_offset | "" (since there is no time given on DA2410) | The number of minutes by which a time is offset from Coordinated Universal Time. The value of this attribute need not be specified. This parameter is optional. If not given, it will remain unset. | |
The use of template #10 assigning_identification in Figure 16 is identical to, and described in, template table: Template #6(Figure 11).
Template #11 assigning_dated_effectivity in Figure 16 should not be instantiated when assigning an end date to the effectivity. Instead, the relevant existing dated effectivity should be extended with the end date, as described in template table: Template #12(Figure 16) below.
| Template #12 (Figure 16): representing_date_time | |||
|---|---|---|---|
| Description | Adding an End Date to an existing dated effectivity by instantiating an attribute value to entity Dated_effectivity attribute end_bound. The end_bound date of this effectivity (Previous UID) should be the same as the start_bound date of the effectivity for the New UID. | ||
| Parameter name: | Parameter value: | Parameter description: | |
| year | The 'year' component of:
Block 39 DATE CHECKED, or Block 63 DATE INSTALLED |
Calendar_date year_component of the date and time. | |
| month | The 'month' component of:
Block 39 DATE CHECKED, or Block 63 DATE INSTALLED |
Calendar_date month_component of the date and time. | |
| day | The 'day' component of:
Block 39 DATE CHECKED, or Block 63 DATE INSTALLED |
Calendar_date day_component of the date and time. | |
| hour | "00" (since there is no time given on DA2410) | Local_time hour_component of the date and time. | |
| minute | "" (since there is no time given on DA2410) | Local_time minute_component of the date and time. This parameter is optional. If not given, it will remain unset. | |
| second | "" (since there is no time given on DA2410) | Local_time second_component of the date and time. This parameter is optional. If not given, it will remain unset. | |
| sense | "" (since there is no time given on DA2410) | The direction of the offset. Type (Enumeration) values are: 'ahead', 'exact' or 'behind'. | |
| hour_offset | "" (since there is no time given on DA2410) | The number of hours by which a time is offset from Coordinated Universal Time. | |
| minute_offset | "" (since there is no time given on DA2410) | The number of minutes by which a time is offset from Coordinated Universal Time. The value of this attribute need not be specified. This parameter is optional. If not given, it will remain unset. | |
The use of template #13 assigning_identification in Figure 16 is identical to, and described in, template table: Template #2(Figure 11).
| Template #14 (Figure 16): assigning_dated_effectivity | |||
|---|---|---|---|
| Description | Effectivity start date and time for the new part number, i.e.
from which date and time this new part number is effective.
Note: No end dates should be given. |
||
| Parameter name: | Parameter value: | Parameter description: | |
| start_year | The 'year' component of:
Block 39 DATE CHECKED, or Block 63 DATE INSTALLED |
Calendar_date year_component of the effectivity start date and time. | |
| start_month | The 'month' component of:
Block 39 DATE CHECKED, or Block 63 DATE INSTALLED |
Calendar_date month_component of the effectivity start date and time. | |
| start_day | The 'day' component of:
Block 39 DATE CHECKED, or Block 63 DATE INSTALLED |
Calendar_date day_component of the effectivity start date and time. | |
| start_hour | "00" (since there is no time given on DA2410) | Local_time hour_component of the effectivity start date and time. | |
| start_minute | "" (since there is no time given on DA2410) | Local_time minute_component of the effectivity start date and time. This parameter is optional. If not given, it will remain unset. | |
| start_second | "" (since there is no time given on DA2410) | Local_time day_component of the effectivity start date and time. This parameter is optional. If not given, it will remain unset. | |
| start_sense | "" (since there is no time given on DA2410) | The direction of the offset. Enumeration values: 'ahead', 'exact' or 'behind'. | |
| start_hour_offset | "" (since there is no time given on DA2410) | The number of hours by which a time is offset from Coordinated Universal Time. | |
| start_minute_offset | "" (since there is no time given on DA2410) | The number of minutes by which a time is offset from Coordinated Universal Time. The value of this attribute need not be specified. This parameter is optional. If not given, it will remain unset. | |
| role_class_name | "Actual effectivity" (urn:plcs:rdl:std:Actual effectivity) | The name of the class being used to classify the effectivity assignment (Effectivity_assignment) This provides the role for the assignment. | |
| role_ecl_id | "'urn:plcs:rdl:pam738_751'" | The identifier of the External_class_library storing the definition of the class referenced by the parameter @role_class_name. | |
| items | Identification_assignment | The items to which the dated effectivity is assigned. | |
The use of template #15 assigning_code in Figure 16 is identical to, and described in, template table: Template #3(Figure 11).
| Template #16 (Figure 16): assigning_dated_effectivity | |||
|---|---|---|---|
| Description | Effectivity start date and time for the new NSN, i.e.
from which date and time this new NSN is effective.
Note: No end dates should be given. |
||
| Parameter name: | Parameter value: | Parameter description: | |
| start_year | The 'year' component of:
Block 39 DATE CHECKED, or Block 63 DATE INSTALLED |
Calendar_date year_component of the effectivity start date and time. | |
| start_month | The 'month' component of:
Block 39 DATE CHECKED, or Block 63 DATE INSTALLED |
Calendar_date month_component of the effectivity start date and time. | |
| start_day | The 'day' component of:
Block 39 DATE CHECKED, or Block 63 DATE INSTALLED |
Calendar_date day_component of the effectivity start date and time. | |
| start_hour | "00" (since there is no time given on DA2410) | Local_time hour_component of the effectivity start date and time. | |
| start_minute | "" (since there is no time given on DA2410) | Local_time minute_component of the effectivity start date and time. This parameter is optional. If not given, it will remain unset. | |
| start_second | "" (since there is no time given on DA2410) | Local_time day_component of the effectivity start date and time. This parameter is optional. If not given, it will remain unset. | |
| start_sense | "" (since there is no time given on DA2410) | The direction of the offset. Enumeration values: 'ahead', 'exact' or 'behind'. | |
| start_hour_offset | "" (since there is no time given on DA2410) | The number of hours by which a time is offset from Coordinated Universal Time. | |
| start_minute_offset | "" (since there is no time given on DA2410) | The number of minutes by which a time is offset from Coordinated Universal Time. The value of this attribute need not be specified. This parameter is optional. If not given, it will remain unset. | |
| role_class_name | "Actual effectivity" (urn:plcs:rdl:std:Actual effectivity) | The name of the class being used to classify the effectivity assignment (Effectivity_assignment) This provides the role for the assignment. | |
| role_ecl_id | "'urn:plcs:rdl:pam738_751'" | The identifier of the External_class_library storing the definition of the class referenced by the parameter @role_class_name. | |
| items | Classification_assignment | The items to which the dated effectivity is assigned. | |
The use of template #17 assigning_identification in Figure 16 is identical to, and described in, template table: Template #5(Figure 11).
| Template #18 (Figure 16): assigning_dated_effectivity | |||
|---|---|---|---|
| Description | Effectivity start date and time for the new part serial number, i.e.
from which date and time this new part serial number is effective.
Note: No end dates should be given. |
||
| Parameter name: | Parameter value: | Parameter description: | |
| start_year | The 'year' component of:
Block 39 DATE CHECKED, or Block 63 DATE INSTALLED |
Calendar_date year_component of the effectivity start date and time. | |
| start_month | The 'month' component of:
Block 39 DATE CHECKED, or Block 63 DATE INSTALLED |
Calendar_date month_component of the effectivity start date and time. | |
| start_day | The 'day' component of:
Block 39 DATE CHECKED, or Block 63 DATE INSTALLED |
Calendar_date day_component of the effectivity start date and time. | |
| start_hour | "00" (since there is no time given on DA2410) | Local_time hour_component of the effectivity start date and time. | |
| start_minute | "" (since there is no time given on DA2410) | Local_time minute_component of the effectivity start date and time. This parameter is optional. If not given, it will remain unset. | |
| start_second | "" (since there is no time given on DA2410) | Local_time day_component of the effectivity start date and time. This parameter is optional. If not given, it will remain unset. | |
| start_sense | "" (since there is no time given on DA2410) | The direction of the offset. Enumeration values: 'ahead', 'exact' or 'behind'. | |
| start_hour_offset | "" (since there is no time given on DA2410) | The number of hours by which a time is offset from Coordinated Universal Time. | |
| start_minute_offset | "" (since there is no time given on DA2410) | The number of minutes by which a time is offset from Coordinated Universal Time. The value of this attribute need not be specified. This parameter is optional. If not given, it will remain unset. | |
| role_class_name | "Actual effectivity" (urn:plcs:rdl:std:Actual effectivity) | The name of the class being used to classify the effectivity assignment (Effectivity_assignment) This provides the role for the assignment. | |
| role_ecl_id | "'urn:plcs:rdl:pam738_751'" | The identifier of the External_class_library storing the definition of the class referenced by the parameter @role_class_name. | |
| items | Identification_assignment | The items to which the dated effectivity is assigned. | |
The use of template #19 assigning_identification in Figure 16 is identical to, and described in, template table: Template #6(Figure 11).
| Template #20 (Figure 16): assigning_dated_effectivity | |||
|---|---|---|---|
| Description | Effectivity start date and time for the new UID, i.e.
from which date and time this new UID is effective. Note: No end dates should be given. |
||
| Parameter name: | Parameter value: | Parameter description: | |
| start_year | The 'year' component of:
Block 39 DATE CHECKED, or Block 63 DATE INSTALLED |
Calendar_date year_component of the effectivity start date and time. | |
| start_month | The 'month' component of:
Block 39 DATE CHECKED, or Block 63 DATE INSTALLED |
Calendar_date month_component of the effectivity start date and time. | |
| start_day | The 'day' component of:
Block 39 DATE CHECKED, or Block 63 DATE INSTALLED |
Calendar_date day_component of the effectivity start date and time. | |
| start_hour | "00" (since there is no time given on DA2410) | Local_time hour_component of the effectivity start date and time. | |
| start_minute | "" (since there is no time given on DA2410) | Local_time minute_component of the effectivity start date and time. This parameter is optional. If not given, it will remain unset. | |
| start_second | "" (since there is no time given on DA2410) | Local_time day_component of the effectivity start date and time. This parameter is optional. If not given, it will remain unset. | |
| start_sense | "" (since there is no time given on DA2410) | The direction of the offset. Enumeration values: 'ahead', 'exact' or 'behind'. | |
| start_hour_offset | "" (since there is no time given on DA2410) | The number of hours by which a time is offset from Coordinated Universal Time. | |
| start_minute_offset | "" (since there is no time given on DA2410) | The number of minutes by which a time is offset from Coordinated Universal Time. The value of this attribute need not be specified. This parameter is optional. If not given, it will remain unset. | |
| role_class_name | "Actual effectivity" (urn:plcs:rdl:std:Actual effectivity) | The name of the class being used to classify the effectivity assignment (Effectivity_assignment) This provides the role for the assignment. | |
| role_ecl_id | "'urn:plcs:rdl:pam738_751'" | The identifier of the External_class_library storing the definition of the class referenced by the parameter @role_class_name. | |
| items | Identification_assignment | The items to which the dated effectivity is assigned. | |
The DA2410 form specifies that a reportable item has been added to or removed from the inventory. The action of reporting this event, the DA 2410 form, is represented in ISO 10303-239 PLCS by an instantiation of an Activity_actual as previously described in Activity Record.
In ISO 10303-239 PLCS a distinction is made between, actual products, such as an aircraft or engine, products that can be used as a resource to do a task and products that are managed in an inventory.
A product that is managed in an inventory is represented by a Managed_resource which refers the resource that is being managed, represented by a Resource_item. The Resource_item identifies a product type or actual product that is required for a particular task. In this case, the Resource_item links to the Product_as_individuals representing the reportable item, as described in Reportable item identification.
ISO 10303-239 PLCS represents the event of increasing or decreasing the inventory by an instantiation of a Increasing_resource_event or Decreasing_resource_event respectively. Each resource event is linked back to the Activity_actual by an instance of Applied_activity_assignment. The use of Applied_activity_assignment is detailed in the template assigning_activity.
An EXPRESS-G diagram showing how the inventory event is represented is shown below.

The following templates are used in the diagram and represent the various blocks on the DA2410 form.
| Template #1 (Figure 17): representing_count | |||
|---|---|---|---|
| Description | The total quantity for each item gained or lost to the inventory. | ||
| Parameter name: | Parameter value: | Parameter description: | |
| value | "/NULL" (DA Form 2410 does not provide the quantity) | The value of the quantity. Default value is 1. The datatype is always 'any_number_value' and should not be registered together with the value, i.e. enter the value as a number, without datatype. | |
The use of template #2 assigning_activity in Figure 17 is identical to, and described in, template table: Template #1(Figure 10).
The use of template #3 assigning_activity in Figure 17 is identical to, and described in, template table: Template #1(Figure 10).
| Template #4 (Figure 17): assigning_business_specific_reference_data | |||
|---|---|---|---|
| Description | Block 44 - The reason for the gains to the inventory | ||
| Parameter name: | Parameter value: | Parameter description: | |
| class_name |
[Equipment_gain_codes] |
The name of the class in the business specific reference data library (External_class) being used to classify something | |
| ecl_id | "'urn:plcs:rdl:pam738_751'" | The id of the business_specific External_class_library that stores the class. | |
| plcs_class_name | "Increasing resource event" (urn:plcs:rdl:std:Increasing resource event) | The name of the first plcs superclass encountered in the plsc standard reference data library (External_class) when traversing the class hierarchy for the assigned business specific (External_class). | |
| items | Increasing_resource_event | The items to which the External_class is assigned. | |
| Template #5 (Figure 17): assigning_business_specific_reference_data | |||
|---|---|---|---|
| Description | Block 66 - The reason for the loss to the inventory | ||
| Parameter name: | Parameter value: | Parameter description: | |
| class_name |
[Equipment_loss_codes] |
The name of the class in the business specific reference data library (External_class) being used to classify something | |
| ecl_id | "'urn:plcs:rdl:pam738_751'" | The id of the business_specific External_class_library that stores the class. | |
| plcs_class_name | "Decreasing resource event" (urn:plcs:rdl:std:Decreasing resource event) | The name of the first plcs superclass encountered in the plsc standard reference data library (External_class) when traversing the class hierarchy for the assigned business specific (External_class). | |
| items | Decreasing_resource_event | The items to which the External_class is assigned. | |
The following sections show some examples of the DA2410 forms and the corresponding ISO 10303-239 instantiations that represent them.
Example DA 2410 - Installation
The following example shows the information recorded on a DA 2410 to record the installation of a component on an aircraft. The example form is given in Table 1 and a corresponding DA2410 XML file (../examples/1_18_2006_10_58_05_AM_98C3.xml) is provided.
|
Block |
Block Name |
Block Value |
Description |
|---|---|---|---|
| Control number | 010692 | The item name. | |
| 1 | NOMENCLATURE. | TAIL ROTOR GEARBOX | The item name. |
| 2 | NSN. | 1615011051510 | The National Stock Number of the item. |
| 3 | PART NUMBER. | 70358-06600-043 | The Part Number of the item. |
| 4 | SERIAL NUMBER. | A00600566A | The Serial Number of the item. |
| 5 | CAGE CODE. | 78286 | Contractor and Government Entity Code for the item. |
| 6 | NO. OF PREV O/Hs. | 0 | The number of times that the item has been overhauled. If the item has never been overhauled, enter "0." For Retirement Life Components/Modules and Condition Components/Modules enter "RC" or "CC" in this block. |
| 7 | TIME SINCE LAST INST (HRS). | 0 | The number of hours, to the nearest hour, that the item has operated since it was last installed. |
| 8 | TIME SINCE NEW (HRS). | 2124 | The total number of hours, to the nearest hour, that the item has been operated since it was new or rebuilt. For H-60 series APUs without an installed hour meter enter "0." |
| 9 | TIME SINCE OVERHAUL (HRS). | 0 | If the item has been overhauled before, enter the number of hours, to the nearest hour, that the item has operated since the last overhaul. If the item is a RC or CC item, enter "RC" or "CC." For H-60 series APUs, enter "0". |
| 10 | FAILURE CODE. | 799 | For new items enter "799." For other items enter the appropriate failure code from tables 1-2 or 1-3. |
| 14 | WUC. | 06G01 | Enter the work unit code that applies. |
| 43 | INSPECTION AND ACTION CODES. | A | A = serviceable item B = unserviceable item C = change in serviceability status resulted from the publication of an MWO, or other directive enter D = ? E = item for repair F = item for Overhaul |
| 50 | INSTALLED ON (NOMEN NHA). | HELICOPTER, UTILITY | The name of the next higher assembly on which the reportable item is installed. |
| 51 | NSN (NHA). | 1520012984532 | The NSN of the next higher assembly on which the reportable item is installed. |
| 52 | PART NUMBER (NHA). | UH-60L | The Part Number of the next higher assembly on which the reportable item is installed. |
| 53 | SERIAL NUMBER (NHA). | 9326486 | The Serial Number of the next higher assembly on which the reportable item is installed. |
| 54 | HOURS (NHA). | 1498 | The current aircraft hours, to the nearest hour, if the next higher assembly is an aircraft. If item is a component, enter the operating hours, to the nearest hour, since new or rebuild. |
| 60 | ACFT MODEL. | UH-60L | The Mission Design Series of the aircraft. Leave blank if block 50 is an engine, APU, or component/module. |
| 61 | ACFT S/N. | 9326486 | The aircraft Serial Number if the next higher assembly is an aircraft, otherwise leave blank. |
| 62 | MAINT LEVEL. | F | The maintenance level ("O" for AVUM, "F" for AVIM, or "D" for Depot) performing the action. |
| 63 | DATE INSTALLED. | 2133 | The Julian date that the reportable item was installed. |
| 64 | UIC (THIS ACTION). | WDLJC0 | The Unit Identification Code of the organization doing the installation. If a contractor, enter the CAGE code prefixed with a "K." |
| 65 | MAN-HOURS (TO INSTALL). | 5 | The man-hours, in hours and tenths, it took to install the item in block 1. |
Table 1 — DA 2410 form: Example
The following instance diagrams show the templates and entities that need to instantiated to represent the DA 2410 form shown in Table 1.
Figure 18 shows the entities and templates instantiated to represent the record of the installation activity. In addition properties of the activity, such as the time take to perform the activity is also shown.

Figure 19 shows the entities and templates instantiated to represent the reportable item.

Figure 20 shows the entities and templates instantiated to represent position of the reportable item on the aircraft.

The following example shows the information recorded on a DA 2410 to record the removal of a component from an aircraft. The example form is given in Table 2 and a corresponding DA2410 XML file (../examples/1_18_2006_10_58_05_AM_152C1.xml) is provided.
|
Block |
Block Name |
Block Value |
Description |
|---|---|---|---|
| Control number | R12704 | The item name. | |
| 1 | NOMENCLATURE. | SAS ACTUATOR | The item name. |
| 2 | NSN. | TAIL ROTOR GEARBOX | The National Stock Number of the item. |
| 3 | PART NUMBER. | 70410-02500-049 | The Part Number of the item. |
| 4 | SERIAL NUMBER. | B11204829 | The Serial Number of the item. |
| 5 | CAGE CODE. | 78286 | Contractor and Government Entity Code for the item. |
| 6 | NO. OF PREV O/Hs. | 0 | The number of times that the item has been overhauled. If the item has never been overhauled, enter "0." For Retirement Life Components/Modules and Condition Components/Modules enter "RC" or "CC" in this block. |
| 7 | TIME SINCE LAST INST (HRS). | 0 | The number of hours, to the nearest hour, that the item has operated since it was last installed. |
| 8 | TIME SINCE NEW (HRS). | 1968 | The total number of hours, to the nearest hour, that the item has been operated since it was new or rebuilt. For H-60 series APUs without an installed hour meter enter "0." |
| 9 | TIME SINCE OVERHAUL (HRS). | 0 | If the item has been overhauled before, enter the number of hours, to the nearest hour, that the item has operated since the last overhaul. If the item is a RC or CC item, enter "RC" or "CC." For H-60 series APUs, enter "0". |
| 10 | FAILURE CODE. | 381 | For new items enter "799." For other items enter the appropriate failure code from tables 1-2 or 1-3. |
| 14 | WUC. | 06G01 | Enter the work unit code that applies. |
| 20 | REMOVED FROM (NOMEN NHA). | HELICOPTER, UTILITY | The name of the next higher assembly, from which the item was removed. |
| 21 | NSN (NHA). | 1520012984532 | The National Stock Number of the next higher assembly, from which the item was removed. |
| 22 | PART NUMBER (NHA). | UH-60L | The Part Number of the next higher assembly, from which the item was removed. |
| 23 | SERIAL NUMBER (NHA). | 9326520 | The Serial Number of the next higher assembly from which the item was removed. |
| 24 | HOURS (NHA). | 1550 | The current aircraft hours, to the nearest hour, if the next higher assembly is an aircraft. If the next higher assembly is a component, enter the components operating hours since new. |
| 30 | ACFT MODEL. | UH-60L | The aircraft Mission Design Series if the next higher assembly is an aircraft, otherwise leave blank. |
| 31 | ACFT S/N. | 9326520 | The aircraft Serial Number if the next higher assembly is an aircraft. |
| 33 | DATE REMOVED. | 2127 | The Julian date that the removal action was completed. |
| 34 | UIC. | WFJ4C0 | The Unit Identification Code for the organization taking this action. If a contractor, enter the CAGE code prefixed with a "K." |
| 35 | MAN-HOURS (To Remove). | 1 | The man-hours it took to remove the item, in hours and tenths. (See Time Conversion Codes, table 1-12 , at the end of chapter 1 or the backside of DA Form 2408.) |
| 37 | MALFUNCTION CODE. | 2 | The Malfunction Effect Code (table 1-6) or the front side of DA Form 2408) that most closely described the effect the malfunction had on the mission. |
| 38 | WHEN DISCOVERED. | K | The When Discovered Code ( Table 1-4 or the front side of DA Form 2408) that identifies when the failure was first detected. |
Table 2 — DA 2410 form: Example
The following instance diagrams show the templates and entities that need to instantiated to represent the DA 2410 form shown in Table 2.
Figure 21 shows the entities and templates instantiated to represent the record of the removal activity. In addition properties of the activity, such as the time take to perform the activity is also shown.

Figure 22 shows the entities and templates instantiated to represent the reportable item.

Figure 23 shows the entities and templates instantiated to represent position of the reportable item on the aircraft.

© OASIS 2010 — All rights reserved